蛋白類生物制品中常見的表面活性劑
時(shi)間:2023-08-14 10:16:00 來源:創始人
點擊:0次
聚山梨(醇)酯(zhi)20/80是生物制品中(zhong)常見的(de)(de)非離子型(xing)表面活(huo)(huo)性劑(ji),常見于蛋白類產品的(de)(de)輔料添加中(zhong)。相比(bi)于離子表面活(huo)(huo)性劑(ji)(如十二烷基硫酸鈉),非離子型(xing)表面活(huo)(huo)性劑(ji)避免了與帶電蛋白質(zhi)分子發(fa)生的(de)(de)強(qiang)相互作用,而且毒性低且臨床耐受性好(hao)。
FDA已經批準上市(shi)的(de)近120款抗(kang)體(ti)類(lei)產(chan)品(pin)(單(dan)抗(kang)、雙抗(kang)和(he)ADC),產(chan)品(pin)中(zhong)的(de)表面活性劑添(tian)加(jia)不低(di)于(yu)產(chan)品(pin)總(zong)數的(de)70%,聚山(shan)(shan)梨(li)酯(zhi)20和(he)聚山(shan)(shan)梨(li)酯(zhi)80的(de)添(tian)加(jia)又分別占到了(le)其中(zhong)的(de)30%和(he)70%左(zuo)右,還有少量(liang)產(chan)品(pin)中(zhong)添(tian)加(jia)了(le)波洛(luo)沙姆188。聚山(shan)(shan)梨(li)酯(zhi)80是1986年(nian)第(di)一(yi)個上市(shi)單(dan)克(ke)隆抗(kang)體(ti)產(chan)品(pin)(Orthoclone OKT3,1986)輔料之一(yi),聚山(shan)(shan)梨(li)酯(zhi)類(lei)表面活性劑的(de)常(chang)見使用濃度在(zai)0.01 mg/mL到1.0 mg/mL之間。表1:表面活(huo)性(xing)劑常見(jian)用量(liang)示(shi)例
一般認為表面(mian)活性劑(ji)的添加具有1)表面(mian)活性劑(ji)與蛋(dan)白類產品(pin)(pin)(pin)競爭氣-液(ye)的交界面(mian),從(cong)而減(jian)低蛋(dan)白產品(pin)(pin)(pin)的暴露;2)降低產品(pin)(pin)(pin)與其接觸(chu)面(mian)(如管壁、瓶(ping)塞等)的非特異性吸附(fu);3)增加產品(pin)(pin)(pin)的溶解度。

圖1:蛋(dan)白質穩定的不(bu)同機制示意圖聚山(shan)(shan)梨(li)(li)(li)(li)酯(zhi)(zhi)其實(shi)是一(yi)(yi)種混(hun)合物(wu)(wu),主要為聚氧(yang)乙(yi)烯山(shan)(shan)梨(li)(li)(li)(li)醇脂肪酸(suan)酯(zhi)(zhi)組成的(de)一(yi)(yi)種兩親性非離子表面活(huo)性劑。下(xia)圖為聚山(shan)(shan)梨(li)(li)(li)(li)酯(zhi)(zhi)80的(de)合成過程示例。山(shan)(shan)梨(li)(li)(li)(li)醇首(shou)先脫(tuo)水(shui)成脫(tuo)水(shui)山(shan)(shan)梨(li)(li)(li)(li)醇(脫(tuo)水(shui)山(shan)(shan)梨(li)(li)(li)(li)醇可(ke)以進一(yi)(yi)步(bu)脫(tuo)水(shui)成異山(shan)(shan)梨(li)(li)(li)(li)醇),脫(tuo)水(shui)產(chan)(chan)物(wu)(wu)與(yu)環氧(yang)乙(yi)烷反應并進一(yi)(yi)步(bu)與(yu)油(you)酸(suan)(或月(yue)桂酸(suan))部分(fen)酯(zhi)(zhi)化,分(fen)別生(sheng)成聚山(shan)(shan)梨(li)(li)(li)(li)酯(zhi)(zhi)80(或聚山(shan)(shan)梨(li)(li)(li)(li)酯(zhi)(zhi)20),產(chan)(chan)物(wu)(wu)中通常存在許多未酯(zhi)(zhi)化的(de)分(fen)子(圖2)。
圖2:聚山(shan)梨(li)酯(zhi)80的合成(cheng)。使用月桂酸代替油酸,以類似的方式合成(cheng)聚山(shan)梨(li)醇酯(zhi)20。聚(ju)山梨醇(chun)酯(zhi)(zhi)是(shi)由不(bu)同脂肪酸酯(zhi)(zhi)組(zu)成的多相混合物,中國藥典要求聚(ju)山梨酯(zhi)(zhi)80和聚(ju)山梨酯(zhi)(zhi)20中的油酸含(han)量范圍分別為(wei)不(bu)低于58.0%,月桂酸應為(wei)40.0%~60.0%之(zhi)間。一份(fen)數據顯示(shi),不(bu)同供應商(shang)間不(bu)同批(pi)次(A1-E3)聚(ju)山梨酯(zhi)(zhi)80均(jun)有差異(yi)(表2)。表2:不同供應(ying)商間不同批(pi)次聚山梨酯(zhi)80(PS80)差異(紅框標注(zhu))
研發生(sheng)產(chan)過(guo)程中(zhong)應考慮到產(chan)品(pin)輔料本身對產(chan)品(pin)的的影響,以確保最終(zhong)產(chan)品(pin)的安全(quan)有效(xiao)性,各國藥典要求市售產(chan)品(pin)必(bi)須滿足其最低(di)標準(zhun)才可允許其銷(xiao)售(表(biao)(biao)3)。表(biao)(biao)1表(biao)(biao)明產(chan)品(pin)中(zhong)聚山梨(li)酯的實際使(shi)用(yong)量較低(di),實際采(cai)購時應該考慮到訂購量的問(wen)題以防(fang)發生(sheng)輔料變(bian)質問(wen)題。表3:國際(ji)藥典描述了用于制藥目的(de)的(de)市售產品(pin)必(bi)須滿足的(de)最低標(biao)準
除聚(ju)山(shan)(shan)梨酯(zhi)原(yuan)料之外,聚(ju)山(shan)(shan)梨酯(zhi)本身也(ye)存在著(zhu)降(jiang)(jiang)解(jie)(jie)風(feng)險(xian)而(er)造成其(qi)中含有的(de)(de)(de)(de)物質更加復(fu)雜(za)。通常而(er)言,聚(ju)山(shan)(shan)梨酯(zhi)有酸/堿/酶催化(hua)的(de)(de)(de)(de)水解(jie)(jie)風(feng)險(xian)以及包括金屬離(li)子在內造成的(de)(de)(de)(de)氧化(hua)降(jiang)(jiang)解(jie)(jie)風(feng)險(xian),聚(ju)山(shan)(shan)梨酯(zhi)暴露于空(kong)氣、光和過(guo)渡金屬是(shi)導(dao)致其(qi)氧化(hua)的(de)(de)(de)(de)已知因素,酶介導(dao)的(de)(de)(de)(de)水解(jie)(jie)(一般由(you)宿(su)主蛋(dan)白介導(dao))被認(ren)為是(shi)在生物藥中觀察到的(de)(de)(de)(de)降(jiang)(jiang)解(jie)(jie)的(de)(de)(de)(de)主要(yao)原(yuan)因。抗體(ti)類產(chan)品使(shi)用的(de)(de)(de)(de)溶媒一般是(shi)生理鹽水或(huo)者無(wu)菌注射(she)用水,聚(ju)山(shan)(shan)梨酯(zhi)的(de)(de)(de)(de)降(jiang)(jiang)解(jie)(jie)產(chan)物中的(de)(de)(de)(de)游離(li)脂肪酸溶解(jie)(jie)度(du)差(cha),是(shi)形成不溶性顆粒的(de)(de)(de)(de)的(de)(de)(de)(de)主要(yao)原(yuan)因之一。

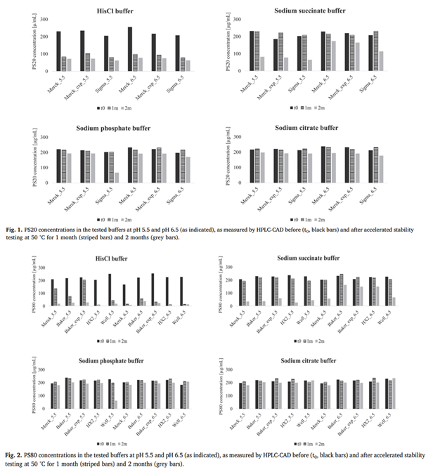
圖(tu)3:聚山梨酯降(jiang)解的主要途(tu)徑針對(dui)(dui)水解,實際產(chan)(chan)品中經常會(hui)添加一(yi)定的(de)(de)(de)緩沖輔(fu)料(如(ru)組氨酸(鹽(yan))、磷酸鹽(yan)等),因(yin)此聚(ju)(ju)山(shan)梨酯所(suo)處的(de)(de)(de)體(ti)系酸堿度變化(hua)應(ying)該(gai)不(bu)大。宿主(zhu)(zhu)蛋(dan)(dan)白(bai)的(de)(de)(de)殘留是一(yi)個棘(ji)手的(de)(de)(de)問題,促使(shi)制(zhi)(zhi)劑產(chan)(chan)生(sheng)多種聚(ju)(ju)集體(ti)以(yi)至于產(chan)(chan)生(sheng)肉眼可(ke)見(jian)的(de)(de)(de)顆粒,如(ru)蛋(dan)(dan)白(bai)質(zhi)(zhi)二硫化(hua)物酶(PD19)、熱休(xiu)克蛋(dan)(dan)白(bai)(DanK)等參與(yu)到了聚(ju)(ju)集進(jin)程中,不(bu)僅(jin)如(ru)此,宿主(zhu)(zhu)蛋(dan)(dan)白(bai)也會(hui)導致制(zhi)(zhi)劑降解的(de)(de)(de)發(fa)生(sheng),使(shi)聚(ju)(ju)山(shan)梨酯功能(neng)喪失(shi)而破壞制(zhi)(zhi)劑穩定性(xing)。針對(dui)(dui)宿主(zhu)(zhu)蛋(dan)(dan)白(bai)殘留,上游(you)可(ke)以(yi)通過對(dui)(dui)細胞系相關基因(yin)的(de)(de)(de)敲減(在不(bu)影(ying)響(xiang)實際生(sheng)產(chan)(chan)條(tiao)(tiao)件(jian)下(xia)),細胞培(pei)養條(tiao)(tiao)件(jian)優化(hua),下(xia)游(you)可(ke)以(yi)通過優化(hua)純化(hua)步(bu)驟來改善(shan),應(ying)該(gai)注(zhu)意到高濃(nong)度抗體(ti)產(chan)(chan)品可(ke)能(neng)會(hui)伴隨高濃(nong)度酶雜(za)質(zhi)(zhi)的(de)(de)(de)存在。當然(ran),過程中有可(ke)能(neng)含有具有酶活性(xing)的(de)(de)(de)其他物質(zhi)(zhi),根據其性(xing)質(zhi)(zhi),應(ying)該(gai)有針對(dui)(dui)性(xing)的(de)(de)(de)去處理。針對(dui)(dui)金屬(shu)離子(一(yi)般(ban)為銅、鐵離子)在內造成的(de)(de)(de)氧化(hua)問題,一(yi)般(ban)可(ke)以(yi)通過添加依地酸二鈉來改善(shan),而緩沖劑中常見(jian)的(de)(de)(de)檸檬(meng)酸也可(ke)以(yi)起到絡合(he)金屬(shu)離子的(de)(de)(de)作(zuo)用。針(zhen)對(dui)幾種常見(jian)的(de)(de)(de)(de)緩(huan)沖(chong)體(ti)(ti)(ti)(ti)系(xi)(xi)中(zhong)(組氨酸體(ti)(ti)(ti)(ti)系(xi)(xi)、檸檬酸體(ti)(ti)(ti)(ti)系(xi)(xi)、琥珀酸體(ti)(ti)(ti)(ti)系(xi)(xi)和磷酸緩(huan)沖(chong)體(ti)(ti)(ti)(ti)系(xi)(xi)),聚(ju)(ju)山(shan)梨(li)酸酯(zhi)在組氨酸緩(huan)沖(chong)液中(zhong)的(de)(de)(de)(de)降(jiang)解率最高(圖4)。該實驗的(de)(de)(de)(de)組氨酸緩(huan)沖(chong)體(ti)(ti)(ti)(ti)系(xi)(xi)以(yi)及(ji)聚(ju)(ju)山(shan)梨(li)酯(zhi)的(de)(de)(de)(de)使(shi)(shi)用濃度接近(jin)實際(ji)獲批上市(shi)抗體(ti)(ti)(ti)(ti)類產品的(de)(de)(de)(de)實際(ji)使(shi)(shi)用濃度,提供了一(yi)定(ding)的(de)(de)(de)(de)借鑒意(yi)義。在配方篩查時,采(cai)用聚(ju)(ju)山(shan)梨(li)酯(zhi)為(wei)表面活性劑的(de)(de)(de)(de)產品中(zhong),配方中(zhong)緩(huan)沖(chong)劑的(de)(de)(de)(de)選(xuan)擇應該是需要考慮的(de)(de)(de)(de)一(yi)種因素(su)。值(zhi)得注意(yi)的(de)(de)(de)(de)是近(jin)120款抗體(ti)(ti)(ti)(ti)類產品中(zhong)有50%左右(you)的(de)(de)(de)(de)產品中(zhong)采(cai)用組氨酸緩(huan)沖(chong)體(ti)(ti)(ti)(ti)系(xi)(xi),而組氨酸緩(huan)沖(chong)體(ti)(ti)(ti)(ti)系(xi)(xi)中(zhong)有超過50%產品添加(jia)的(de)(de)(de)(de)表面活性劑為(wei)聚(ju)(ju)山(shan)梨(li)酯(zhi)。
圖(tu)4:不同緩(huan)沖(chong)體系對聚山梨酯的(de)保(bao)護效果實際的(de)配方組成(cheng)要考慮(lv)到多(duo)種(zhong)成(cheng)分(fen)的(de)添加以(yi)及(ji)各種(zhong)成(cheng)分(fen)的(de)比(bi)例以(yi)及(ji)實際的(de)用量,正交(jiao)實驗可能是針(zhen)對這樣(yang)變量繁多(duo)而復(fu)雜實驗的(de)良好解決方法(fa)。常見的(de)(de)(de)(de)(de)分(fen)離方(fang)法是(shi)色譜(pu)法(如HPLC),檢測(ce)方(fang)法有紫外/可見光(guang)譜(pu)和(he)(he)熒(ying)光(guang)光(guang)譜(pu)、質(zhi)譜(pu)法等等。由于聚山(shan)梨酯(zhi)本(ben)身的(de)(de)(de)(de)(de)異(yi)質(zhi)性以及降(jiang)解產物的(de)(de)(de)(de)(de)復雜性,為其定性和(he)(he)定量表征(zheng)提出了(le)挑(tiao)戰。由于聚山(shan)梨酯(zhi)復雜的(de)(de)(de)(de)(de)組成、異(yi)質(zhi)性和(he)(he)缺乏生色團(tuan),開發和(he)(he)驗(yan)證多山(shan)梨酸酯(zhi)的(de)(de)(de)(de)(de)分(fen)析方(fang)法是(shi)比(bi)較困難(nan)的(de)(de)(de)(de)(de)。由于(yu)上述聚(ju)山(shan)梨酯可能存在的(de)(de)問(wen)題,其(qi)(qi)他的(de)(de)表(biao)(biao)面(mian)活(huo)性劑可能是(shi)替(ti)代其(qi)(qi)作用的(de)(de)良好輔料。FDA批準上市的(de)(de)抗體類(lei)中(zhong)還有一些產品采用泊洛沙姆188(P188)替(ti)代聚(ju)山(shan)梨酯作為(wei)表(biao)(biao)面(mian)活(huo)性劑。實際上P188 被(bei)批準用于(yu)各種配(pei)方中,作為乳化劑、增(zeng)溶(rong)劑和分散劑等。表(biao)4:FDA批準上市含(han)泊(bo)洛沙(sha)姆抗體輔(fu)料信(xin)息
Grapentin C等人(ren)研究(jiu)了四(si)種(zhong)單抗在含(han)有聚山(shan)梨酯或(huo)P188不(bu)同液體配方的(de)玻(bo)璃瓶中穩(wen)定性,發現(xian)P188在脅迫(po)(凍融(rong)、搖動(dong))條件下提供與(yu)聚山(shan)梨酯相(xiang)當的(de)保護效果(圖5)。

圖5:泊洛沙姆(mu)188和(he)聚山(shan)梨酯對(dui)蛋白制(zhi)劑保(bao)護效果聚(ju)山梨酯(zhi)中(zhong)的(de)(de)酯(zhi)鍵存在酶(mei)解(jie)或化學水解(jie)問(wen)題,而P188的(de)(de)結構對其則有良好的(de)(de)規避。但是P188的(de)(de)聚(ju)環(huan)氧(yang)(yang)乙烯鏈和聚(ju)環(huan)氧(yang)(yang)丙(bing)烷(wan)鏈的(de)(de)降解(jie)是否會形(xing)成不溶性顆粒,目前仍不清楚。Wang T等人研究(jiu)表(biao)明,P188在(zai)(zai)組氨酸(suan)緩沖體系中的(de)穩定性表(biao)現不(bu)如檸檬酸(suan)緩沖體系,金屬離(li)子的(de)存(cun)在(zai)(zai)下,穩定型(xing)也變得比較差(圖6)。GC-MS鑒定的(de)物質包括P188的(de)典型(xing)自氧化(hua)產物乙酸(suan)、乙二醇(chun)及(ji)(ji)其低(di)(di)聚物和醇(chun)類(lei)、丙二醇(chun)及(ji)(ji)其低(di)(di)聚物和醇(chun)類(lei)以(yi)及(ji)(ji)各種乙二醇(chun)酯(zhi)(zhi)和丙二醇(chun)酯(zhi)(zhi)。此外,還觀察到(dao)一些PPO和PEO低(di)(di)聚物,這些降解(jie)產物對不(bu)同蛋白質配方的(de)影響(xiang)還需要進一步研究(jiu)。
圖(tu)6:泊洛沙姆(mu)188在不同(tong)條件下的穩定性抗體類(lei)注射制劑(ji)中(zhong)作為蛋白質穩定劑(ji)的(de)(de)(de)(de)表面(mian)活(huo)(huo)性(xing)劑(ji)除(chu)聚(ju)山梨酯20/80以(yi)及(ji)P188外(wai),泊洛沙姆(mu)家族中(zhong)的(de)(de)(de)(de)P407、PEG脂肪(fang)酯(如(ru)聚(ju)乙(yi)二醇(15)-羥基硬脂酸(suan)酯)、非(fei)酯表面(mian)活(huo)(huo)性(xing)劑(ji)(如(ru)十(shi)(shi)二烷基葡糖(tang)苷(gan)和(he)十(shi)(shi)二烷基麥芽糖(tang)苷(gan))等均具有(you)潛在(zai)(zai)的(de)(de)(de)(de)應用價值。當然,這些潛在(zai)(zai)的(de)(de)(de)(de)替代物(wu)也有(you)潛在(zai)(zai)的(de)(de)(de)(de)短板,比(bi)如(ru)酯類(lei)表面(mian)活(huo)(huo)性(xing)劑(ji)可能存在(zai)(zai)與聚(ju)山梨酯相似包括酶解在(zai)(zai)內(nei)的(de)(de)(de)(de)問(wen)題(ti),但也不(bu)能忽視它們的(de)(de)(de)(de)可生(sheng)(sheng)物(wu)降(jiang)解和(he)生(sheng)(sheng)物(wu)相容性(xing),這些輔料的(de)(de)(de)(de)對產品包括安全性(xing)以(yi)及(ji)有(you)效性(xing)的(de)(de)(de)(de)影響還有(you)待(dai)研究(jiu)者們的(de)(de)(de)(de)進一步探究(jiu)。來源(yuan):表面活性劑發展中(zhong)心