超全!水處理常用計算公式匯總,看這篇就夠了!
時間:2023-07-19 14:44:39 來源:創始(shi)人
點擊:0次
水(shui)處理公式(shi)是我們在(zai)工作中經常要(yao)使用(yong)到的東(dong)西,在(zai)這里我總(zong)結了幾個常常用(yong)到的計算公式(shi),按順序分別為格柵、污泥池、風機、MBR、AAO進出水系統以及芬頓、碳源、除磷、反滲透、水泵和隔(ge)油池計算公(gong)式(shi),由于篇幅較(jiao)長,大家可選擇有目的(de)性的(de)觀(guan)看(kan)。(1)水泵(beng)前格(ge)柵(zha)柵(zha)條間隙應根據水泵(beng)要求確定。(2) 廢水處理(li)系統前格(ge)柵(zha)(zha)柵(zha)(zha)條間(jian)隙(xi)(xi),應符合下列要求(qiu):最大間(jian)隙(xi)(xi)40mm,其中人(ren)工清(qing)除(chu)25~40mm,機械(xie)清(qing)除(chu)16~25mm。廢水處理(li)廠亦可設置粗、細(xi)兩道格(ge)柵(zha)(zha),粗格(ge)柵(zha)(zha)柵(zha)(zha)條間(jian)隙(xi)(xi)50~100mm。(3) 大型(xing)廢水處理廠(chang)可(ke)設置粗、中(zhong)、細三(san)道格柵。(4) 如泵(beng)前格柵間(jian)隙不(bu)大于25mm,廢水(shui)處理系統前可不(bu)再設置格柵。(1) 柵渣(zha)量與多種因素有關,在無當地運行資(zi)料時,可(ke)以采用以下資(zi)料。格柵間隙16~25mm;0.10~0.05m3/103m3 (柵渣/廢水)。格柵間隙30~50mm;0.03~0.01m3/103m3 (柵渣/廢水)。(2) 柵渣的含水率一般為80%,容重約為960kg/m3。(3) 在大型廢水處理廠或泵站前的大型格柵(每日柵渣量大于0.2m3),一般應采用機械清渣。(2) 格柵前(qian)渠道內(nei)水流速度(du)一(yi)般采用0.4~0.9m/s。(3) 格柵傾角一般采用45°~75°,小角度(du)較省力(li),但(dan)占地(di)面積(ji)大。(4) 機(ji)械格柵的動力裝置(zhi)一(yi)般宜設(she)在室(shi)內,或采取其他保護設(she)備(bei)的措施。(5) 設(she)(she)置格柵(zha)裝置的(de)構筑物,必須(xu)考慮設(she)(she)有良好的(de)通風設(she)(she)施。(6) 大中型格柵(zha)間內應安裝吊運設(she)備(bei)(bei),以進行設(she)備(bei)(bei)的檢修和(he)柵(zha)渣的日(ri)常清(qing)除。
式中,S為柵(zha)(zha)條寬(kuan)度,m;n為柵(zha)(zha)條間隙數,個;b為柵(zha)(zha)條間隙,m;為最大設計(ji)流量(liang),m3/s;a為格(ge)柵(zha)(zha)傾角,(°); h為柵(zha)(zha)前水(shui)深(shen),m,不能高于來水(shui)管(渠)水(shui)深(shen);v為過柵(zha)(zha)流速,m/s。
式中,h0為計箅水頭損失,m;k為系數,格柵堵塞時水頭損失增大倍數,一般采用3;ζ 為阻力系數,與柵條斷而形狀有關,按表2-1-1阻力系數ζ計箅公式計算;g為重力加速度,m/s2。

式中,L1為進水渠道漸寬部分的長度,m;L2為柵槽與出水渠道連接處的漸窄部分長度;H1為柵前渠道深,m;B1為進水渠寬,m;α1為進水渠道漸寬部分的展開角度,(°),一般可采用20。
式中,W1為柵渣量,m3/103m3廢水,格柵間隙為16~25mm時,W1=0.10~0.05;格柵間隙為30~50mm時,W1 =0.03~0.01;Kz為城市生活污水流量總變化系數。水(shui)池結構自重Gc=G1+G2+G3=945.00 kN池頂地(di)下水(shui)重量Gs1= 0 kN底板外挑覆(fu)土重量(liang)Gt2= 279.50 kN底板外(wai)挑地(di)下(xia)水重(zhong)量(liang)Gs2= 45.50 kN基底以上的覆(fu)蓋土總重量Gt = Gt1 + Gt2 = 279.50 kN基底以(yi)上的地下水總重量Gs = Gs1 + Gs2 = 45.50 kN頂板(ban)活荷載(zai)作用力Gh1= 54.00 kN地(di)面活荷載作用力Gh2= 65.00 kN活(huo)荷載作用力總和Gh=Gh1+Gh2=119.00 kN基底面積: A=(L+2×t2)×(B+2×t2)=5.000×8.500 = 42.50 m2基底壓強: Pk=(Gc+Gw+Gt+Gs+Gh)/A=(945.00+721.50+279.50+45.50+119.00)/42.500= 49.66 kN/m2rm=[1.000×(20.00-10)+2.000×18.00]/3.000考慮地下水作用,取浮重度(du),r=20.00-10=10.00kN/m3(3)根據基(ji)礎規范的(de)要(yao)求,修正地基(ji)承載力:fa = fak + ηb γ(b - 3) + ηdγm(d - 0.5)= 100.00+0.00×10.00×(5.000-3)+1.00×15.33×(3.000-0.5)Pk=49.66 <fa=138.33 kPa, 地基承載力滿足(zu)要求。抗(kang)浮力Gk=Gc+Gt+Gs=945.00+279.50+45.50=1270.00 kN浮力F=(4.500+2×0.250)×(8.000+2×0.250)×1.000×10.0×1.00=425.00 kNGk/F=1270.00/425.00=2.99 > Kf=1.05, 抗浮滿足(zu)要(yao)求。池頂板自重荷(he)載標準值:P1=25.00×0.200= 5.00 kN/m2池頂(ding)活荷(he)載(zai)標(biao)準值:Ph= 1.50 kN/m2池(chi)頂均布荷(he)載基本(ben)組合(he):Qt = 1.20×P1 + 1.27×Ph= 7.91 kN/m2池頂(ding)均布荷載準永(yong)久(jiu)組合:Qte = P1 + 0.40×Ph= 5.60 kN/m2池(chi)外荷載:主動土壓力系數Ka= 0.33側向(xiang)土壓力荷載(zai)組合(kN/m2):
池內底部水壓力: 標準值= 25.00 kN/m2, 基本組合設計值=31.75 kN/m2
3、底板荷載(zai)計(ji)算(suan)(池內無水(shui),池外填土):水池結構自(zi)重(zhong)標準(zhun)值(zhi)Gc=945.00kN基礎底面以上(shang)土重標準值Gt=279.50kN基礎底面以上水重(zhong)標準值(zhi)Gs=45.50kN基礎底面以上活載標(biao)準值Gh=119.00kN水池底(di)板(ban)以上全部豎向壓力基本組(zu)合:Qb = (945.00×1.20+279.50×1.27+45.50×1.27+119.00×1.27×0.90)/42.500水池底板(ban)以上(shang)全部豎向壓力準永久組(zu)合:Qbe = (945.00+279.50+45.50×1.00+1.50×36.000×0.40+10.00×6.500×0.40)/42.500Q = 39.59-0.300×25.00×1.20= 30.59 kN/m2板底均(jun)布凈(jing)反力準永(yong)久組合(he):4、底板(ban)荷載計算(池內有水,池外無(wu)土):水(shui)池底板以(yi)上全部豎向壓力基本組(zu)合:Qb=[4.500×8.000×1.50×1.27+945.00×1.20+(3.900×7.400×2.500)×10.00×1.27]/42.500
= 49.86kN/m2板(ban)底(di)均(jun)布凈反力基本組合:Q = 49.86-(0.300×25.00×1.20+2.500×10.00×1.27) = 9.11kN/m2水池底板以(yi)上(shang)全部豎(shu)向壓力(li)準永久組合:Qbe=[4.500×8.000×1.50×0.40+945.00+(3.900×7.400×2.500)×10.00]/42.500 Qe=39.72-(0.300×25.00+2.500×10.00)
= 7.22kN/m2 頂板:下側受拉為正,上(shang)側受拉為負(fu)池壁:內(nei)側受(shou)拉(la)為正(zheng),外側受(shou)拉(la)為負底板:上側(ce)受(shou)拉(la)(la)為(wei)正,下側(ce)受(shou)拉(la)(la)為(wei)負1.池(chi)外土(tu)(tu)壓力作用(池(chi)內無水(shui),池(chi)外填土(tu)(tu))3.池(chi)(chi)壁溫濕(shi)度作用(池(chi)(chi)內外(wai)溫差(cha)=池(chi)(chi)內溫度-池(chi)(chi)外(wai)溫度)計算跨度(du): Lx= 4.100 m, Ly= 7.600 m , 四(si)邊簡支

計算跨度:Lx= 7.700 m, Ly= 2.500 m , 三邊固定,頂(ding)邊簡支池壁類型(xing):淺(qian)池壁,按豎(shu)向(xiang)單向(xiang)板計算池外土壓力作用角隅處彎矩(ju)(kN.m/m):基(ji)本組(zu)合:-8.13, 準永久(jiu)組(zu)合:-5.61池內水壓力作(zuo)用角隅(yu)處彎矩(kN.m/m):基本組合:6.95,準永久(jiu)組合:5.47
計算跨(kua)度:Lx= 4.200m, Ly= 7.700m , 四邊(bian)簡支+池(chi)壁傳(chuan)遞彎矩按(an)雙向板計算。1、池(chi)外填土,池(chi)內無水時,荷載組(zu)合作用(yong)彎矩表(kN·m/m)
配筋計算方法:按單筋受(shou)(shou)彎構件計算板受(shou)(shou)拉鋼(gang)筋。裂縫計(ji)算根據《水池結(jie)構規程》附錄A公式計(ji)算。按(an)(an)基(ji)本(ben)組合彎矩計算(suan)配筋,按(an)(an)準永久組合彎矩計算(suan)裂縫,結果如下:頂板配筋及裂(lie)縫(feng)表(彎矩:kN.m/m, 面(mian)積:mm2/m, 裂(lie)縫(feng):mm)


注:0.8是風機效率,是一個變數,0.98是一個機械效率也是一個變數(A型為1,D、F型為0.98,C、B型為0.95)

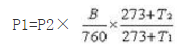
式中:P1=工況全壓(Pa)、P2=設計標準壓力(或表中全壓Pa)、B=當地大氣壓(mmHg)、T2=工況介質溫度℃、T1= 表中或未修正的設計溫度℃、760mmHg=在海拔0m,空氣在20℃情況下的大氣壓。
(760mmHg)-(海撥(bo)高度÷12.75)=當地大氣(qi)壓 (mmHg) 






AAO進出水(shui)系(xi)統(tong)設計計算
初沉池的(de)(de)來水(shui)(shui)(shui)通過DN1000mm 的(de)(de)管(guan)道(dao)(dao)送入(ru)厭(yan)氧(yang)(yang)—缺氧(yang)(yang)—好氧(yang)(yang)曝氣池首端的(de)(de)進(jin)水(shui)(shui)(shui)渠(qu)道(dao)(dao),管(guan)道(dao)(dao)內(nei)的(de)(de)水(shui)(shui)(shui)流速度為0.84m/s。在進(jin)水(shui)(shui)(shui)渠(qu)道(dao)(dao)中污水(shui)(shui)(shui)從曝氣池進(jin)水(shui)(shui)(shui)口流入(ru)厭(yan)氧(yang)(yang)段(duan),進(jin)水(shui)(shui)(shui)渠(qu)道(dao)(dao)寬(kuan)1.0m,渠(qu)道(dao)(dao)內(nei)水(shui)(shui)(shui)深為1.0m,則渠(qu)道(dao)(dao)內(nei)最(zui)大水(shui)(shui)(shui)流速度
式中:v1——渠內(nei)最大水流速度(du)(m/s );V1=0.66/(2×1.0×1.0)=0.33m/s式中:F——每座反應(ying)池(chi)所(suo)需孔口面積(m2);v2——孔口(kou)流速(su)(m/ s ),一般采(cai)用0.2~1.5 m/ s 。設每個(ge)孔口尺寸(cun)為0.5m×0.5m,則孔口數式中:n——每(mei)座(zuo)曝(pu)氣池所需孔(kong)口數(個);
厭氧(yang)—缺氧(yang)—好氧(yang)池的出水采(cai)用矩形(xing)薄壁堰(yan),跌落出水,堰(yan)上水頭式中(zhong):H——堰上水(shui)頭(m);Q——每座(zuo)反應池出水量(liang)(m3/s),指污(wu)水最大流量(liang)( 0.579m/s);與回(hui)(hui)流污(wu)泥量(liang)、回(hui)(hui)流量(liang)之和(0.717×160% m3/s);b——堰(yan)寬(m);與反應池寬度相等(deng)。
厭(yan)氧—缺氧—好氧池的最大出(chu)水流(liu)量為(wei)(0.66+0.66/1.368×160%)=1.43m3/s,出(chu)水管管徑采用(yong)DN1500mm,送往(wang)二沉(chen)池,管道(dao)內(nei)的流(liu)速為(wei)0.81m/s。芬頓計算公(gong)式



通(tong)常反硝(xiao)化(hua)可利用的(de)碳源分(fen)為快(kuai)速(su)碳源(如(ru)甲醇(chun)、乙酸、乙酸鈉等)、慢(man)速(su)碳源(如(ru)淀粉(fen)、蛋(dan)白質(zhi)、葡萄糖等)和(he)細(xi)胞物質(zhi)。不同的(de)外加碳源對系統的(de)反硝(xiao)化(hua)影響不同,即(ji)使外加碳投加量相同,反硝(xiao)化(hua)效果也不同。與慢速(su)碳(tan)(tan)(tan)源(yuan)和(he)細胞物質相比,甲醇(chun)、乙(yi)醇(chun)、乙(yi)酸(suan)、乙(yi)酸(suan)鈉等快(kuai)速(su)碳(tan)(tan)(tan)源(yuan)的反硝(xiao)化(hua)速(su)率最快(kuai),因此應用較(jiao)多。表1 對比了四種快(kuai)速(su)碳(tan)(tan)(tan)源(yuan)的性能。
進水總(zong)氮(dan)(dan)和(he)出水總(zong)氮(dan)(dan)均包括各種形態的氮(dan)(dan)。進水總(zong)氮(dan)(dan)主(zhu)要是(shi)氨(an)氮(dan)(dan)和(he)有機(ji)氮(dan)(dan),出水總(zong)氮(dan)(dan)主(zhu)要是(shi)硝態氮(dan)(dan)和(he)有機(ji)氮(dan)(dan)。進水總氮進入(ru)到生(sheng)物反應池,一(yi)部分通(tong)過(guo)反硝化作用排入(ru)大氣,一(yi)部分通(tong)過(guo)同化作用進入(ru)活性污泥中,剩余的出水總氮需滿足相關(guan)水質排放要求。同化作用進(jin)入污泥中的(de)(de)氮按BOD5 去除量的(de)(de)5%計,即0.05(Si-Se),其中Si、Se 分別為進(jin)水(shui)和出水(shui)的(de)(de)BOD5 濃度。反硝(xiao)化作用去除的氮(dan)與反硝(xiao)化工藝缺氧池容(rong)大小(xiao)和進(jin)水BOD5 濃度有關。反(fan)(fan)硝化設計參數的概念,是將其定義為反(fan)(fan)硝化的硝態氮濃度(du)與進水BOD5 濃度(du)之比, 表示為Kde(kgNO3--N/kgBOD5)。由此可算(suan)出反硝化去除(chu)的(de)硝態氮從(cong)理論上講,反硝化1kg 硝態氮消耗2.86kgBOD5,即(ji):Kde=1/2.86(kg NO3--N/kgBOD5)污水處(chu)理廠需(xu)消耗外(wai)加碳源對應氮(dan)量的計算公(gong)式(shi)為(wei):N=Ne 計 - NsNe 計=Ni - KdeSi - 0.05(Si-Se)N—需消耗外加(jia)碳(tan)源對應氮量,mg/L;Ne 計(ji)(ji)—根(gen)據設計(ji)(ji)的污水水質和設計(ji)(ji)的工藝參數計(ji)(ji)算出能達(da)到(dao)的出水總氮,mg/L;Ns— 二沉池出水總氮(dan)排(pai)放標準, mg/L; Ne 計需(xu)通過建(jian)立氮平(ping)衡(heng)方程計算,生化反應系統的氮平(ping)衡(heng)見圖1。
通過計算出的(de)氮(dan)量(liang),折算成(cheng)需消耗(hao)的(de)碳量(liang)。國內較(jiao)常用的是鐵鹽或(huo)鋁鹽,它們與磷的化(hua)學(xue)反應如式(1)?(2)?與(yu)沉淀反應(ying)(ying)相競爭的(de)反應(ying)(ying)是金屬離子與(yu)OH-的(de)反應(ying)(ying),反應(ying)(ying)式如式(3)?(4)?由式(1)和式(2)可知去除1mol的磷酸鹽,需要1mol的鐵離子或鋁離子?由于在實際工程中,反應并不是100%有效進行的,加之OH-會參與競爭,與金屬離子反應,生成相應的氫氧化物,如式(3) 和式(4),所以實際化學沉淀藥劑一般需要超量投加,以保證達到所需要的出水 P濃度?
《給水排水設計手冊(ce)》第5冊和(he)德國設計(ji)規范中都(dou)提到了同步沉淀化(hua)學(xue)除磷可按(an)1mol磷需投加(jia)1.5mol的鋁(lv)鹽 (或鐵鹽)來考慮?為了計(ji)(ji)算(suan)(suan)方便(bian),實(shi)際計(ji)(ji)算(suan)(suan)中將(jiang)摩爾換算(suan)(suan)成質量單位?如:1molFe=56gFe,1 molAl=27gAl,1molP=31gP;也就是說去除1kg 磷,當采用鐵鹽(yan)時需要(yao)投加:1.5×(56/31)=2.7 kgFe/kgP;當采用鋁鹽時需投加(jia):1.5×(27/31)= 1.3kgAl/kgP?2、需要輔(fu)助化學(xue)除磷(lin)去(qu)除的磷(lin)量(liang)計算(suan)同(tong)步沉淀化學除(chu)(chu)磷(lin)系(xi)統中(zhong)(zhong),想要(yao)計(ji)算出除(chu)(chu)磷(lin)藥劑的投加量(liang),關鍵是先求得(de)需要(yao)輔助(zhu)化學除(chu)(chu)磷(lin)去除(chu)(chu)的磷(lin)量(liang)?對(dui)于(yu)已經運行的污水(shui)處(chu)理廠及設計(ji)中(zhong)(zhong)的污水(shui)處(chu)理廠其算法有所(suo)不(bu)同(tong)?1)已經運行的污水處理廠 PPrec=PEST-PER PPrec——需要輔助化學除磷去除的磷量,mg/L;
PEST——二(er)沉池(chi)出(chu)水總(zong)磷實測濃度,mg/L;
PER——污水(shui)處理廠出水(shui)允許總磷(lin)濃度(du),mg/L? 根據磷的物料平衡可得: PPrec=PIAT-PER-PBM -PBioP PIAT——生化系統進水中總磷設計濃度,mg/L;
PBM ——通過生物合(he)成去除的磷量,PBM= 0.01CBOD,IAT,mg/L;
CBOD,IAT——生化系統進水中(zhong) BOD5 實(shi)測濃度, mg/L;
PBioP——通(tong)過(guo)生(sheng)物過(guo)量(liang)吸附去除的(de)磷(lin)量(liang),mg/L?PBioP值與多種因素有關,德國 ATV-A131標準中推薦PBioP的取值可根據如下幾種情況進行估算:(1)當生化系統中設有前置厭氧池時,
PBioP可按(0.01~0.015)CBOD,IAT進行估算? (2)當水溫較低?出水中硝態氮濃度≥15mg/L,即使設有前置厭氧池,生物除磷的效果也將受到一定的影響,
PBioP可按 (0.005~0.01)CBOD,IAT 進行估算? (3)當生化系統中設有前置反硝化或多級反硝化池,但未設厭氧池時,
PBioP可按≤0.005CBOD,IAT進行估算?(4)當水溫較低,回流至反硝化區的內回流混合液部分回流至厭氧池時(此時為改善反硝化效果將厭氧池作為缺氧池使用),
PBioP可按≤0.005CBOD,IAT進行估算? 





泵(beng)的(de)揚程計算是(shi)(shi)選擇泵(beng)的(de)重要依據,這是(shi)(shi)由管(guan)(guan)網系統(tong)的(de)安裝(zhuang)和操作條件(jian)決定的(de)。計算前應首(shou)先(xian)繪(hui)制流程草圖,平、立面布(bu)置圖,計算出(chu)管(guan)(guan)線的(de)長度(du)、管(guan)(guan)徑及管(guan)(guan)件(jian)型式和數量。一般管網(wang)如下圖所示,(更多圖例可參考化工工藝(yi)設計手冊(ce))。取值:高于(yu)泵入口中心線(xian):為正;低(di)于(yu)泵入口中心線(xian):為負;取值:高于(yu)泵(beng)入口中(zhong)心線(xian):為負;低(di)于(yu)泵(beng)入口中(zhong)心線(xian):為正;Pd、Ps——容器(qi)內操作壓(ya)力,m液柱(表(biao)壓(ya));Hf3——進出口(kou)局部阻力(li)損失,m液柱;
h=D+S+hf1+hf2+h3+Pd-Ps
h= D-S+hf1+hf2+hf3+Pd-Ps
計(ji)算(suan)式中(zhong)各參數(shu)符號(hao)的意義(yi)↓
某(mou)些工業管材的ε約值(zhi)見下表↓
管網局部阻力計算 ↓
常(chang)用管件和(he)閥件底局部阻力系數ζ↓
可(ke)能分離(li)的油的最(zui)小粒徑(jing):d≥15μm;油的(de)密度:ρ=0.92~0.95g/cm3;隔(ge)油池水平流速:v≤0.9m/min,且不大于油滴上浮速度的(de)15倍;池子(zi)的(de)尺(chi)寸范圍:深度(du)(du)0.9~2.4m;寬度(du)(du)1.8~6.1m;深度(du)(du)/寬度(du)(du)0.3~0.5;安(an)全(quan)系數k=1.6。過水斷(duan)面積A:A=Q/v,m2 (1)
G——重(zhong)力加速(su)度,980cm/s2ρ水(shui)——水(shui)的密度(du),g/cm3μ——動力粘度系數,(g·s)/cm2,當水(shui)溫為20℃時μ=0.0102池子寬(kuan)度B和有效水(shui)深(shen)h1,按設計(ji)基準取下限(xian)值,然(ran)后校核Bh1≥A,否則重新設定B、h1值。池總(zong)長度(du) L=L1+L2+L3+L4L3——集水槽寬度,一(yi)般(ban)取0.8m;吸水(shui)井有效容積大于排(pai)水(shui)泵5min排(pai)水(shui)量。浮油經撇(pie)油管收集,自(zi)流出(chu)水(shui)外。在浮油量不 大,來水(shui)比較穩定時,可(ke)在池(chi)外用油桶接受(shou),否則 需設(she)貯(zhu)(zhu)油坑(keng),坑(keng)頂面高度(du)與隔(ge)油池(chi)頂相平(ping)。對溫度(du) 低(di)時粘(zhan)度(du)較大的浮油,貯(zhu)(zhu)油坑(keng)里可(ke)設(she)蒸(zheng)汽加(jia)熱。