有機過氧化物是H2O2中一個或兩個H被有機官能團取代后的產物,通式為R—O—O—R1,依據所含官能團可分為過氧化羧酸、烷基過氧化物、過氧化酮、酯類過氧化物、酰類過氧化物。 有機過氧化物中含有一個過氧鍵(—O—O—),這倆個氧原子的化合價為-1價,是氧元素的中間化合價,既可以升高到0價,也可以降低到-2價。 也就是說,在合適的條件下,它本身就可以發生氧化還原反應,一部分氧原子化合價升高,一部分氧原子化合價降低。 有機過氧化物中的—O—O—鍵長而弱,極不穩定,遇熱、接觸雜質、撞擊或摩擦都易分解,隨溫度升高,熱分解加劇。 有機過氧化物的危險性 大概有以下幾方面

氧化性是有機過氧化物一個顯著的特征,也是其危險特性的表現之一。
這主要因為有機過氧化物中含有的-O-O- 過氧基具有較強的氧化性能,所以在實際工業生產中往往會作為氧化劑使用。
另外,有機過氧化物中還含有碳氫鍵等還原性質的結構,使得其自身具備可發生氧化還原反應的物質條件。
也正因為如此,相比較其他氧化劑,有機過氧化物的危險性更大。
因此,有機過氧化物接觸到氧化劑或者還原劑都有可能發生反應。
2.熱不穩定性
熱不穩定性也是有機過氧化物一個較顯著的危險特性。
這主要因為有機過氧化物的分解產物是自由基,其表現出較強的活躍性,在自由基所參與的反應中,很難用常規的抑制方法對其進行抑制,加之所分解的產物多為氣體或易揮發的物質,且可提供氧氣,所以很容易引發爆炸性分解。
在有機過氧化物的過氧基含量越多的情況下,分解溫度會逐漸升高,這樣發生爆炸的幾率就越高。
有機過氧化物的過氧基穩定性較差,在遇到熱源時分解速率加快,進而產生一系列的連鎖反應。
研究表明,在特定的溫度下,有機過氧化物熱分解發生自由基的連鎖反應。反應進程為: 有機過氧化物→自由基→分解產物+ 熱量。反應釋放大量熱,若熱量不能及時移走,反應溫度急劇上升,反應速率加快將引發爆炸。
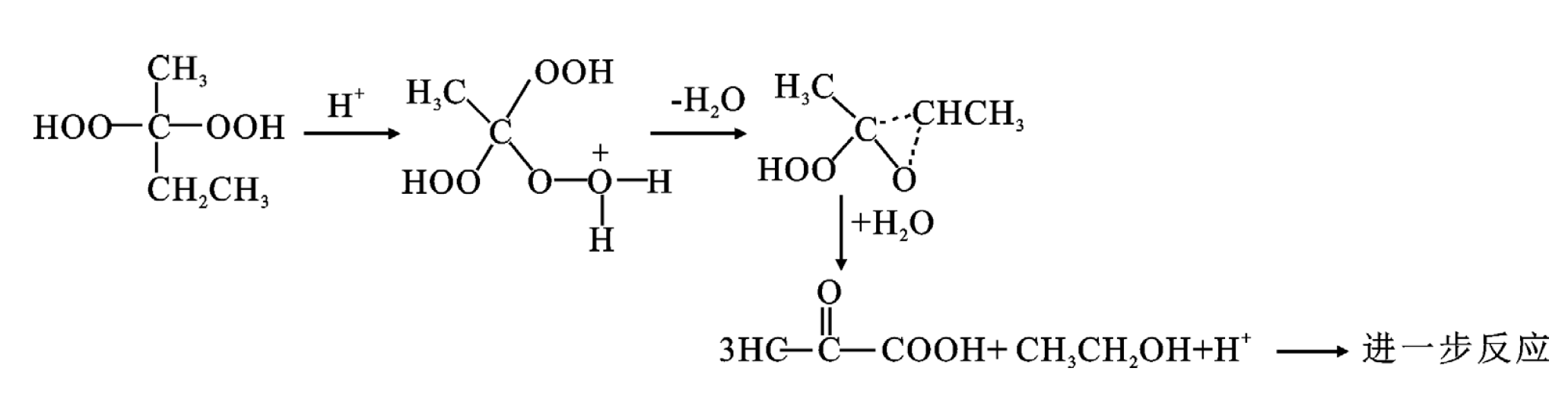
過氧化氫異丙苯的熱分解機理如下:

3.與酸堿產生危險性反應
與酸堿產生危險性反應有機過氧化物不僅為溫度、外力具有較強的敏感性,也對雜質非常敏感,在與酸堿性物質接觸時,尤其是強酸強堿,會加速其分解。
當有機過氧化物與酸堿性較強的物質相遇時,就會產生強烈的化學反應,并產生大量的熱量。
過氧化甲乙酮的酸催化反應機理(如圖所示),從其反應機理來看,過氧鍵(—O—O—)容易和酸中的氫離子或堿中的氫氧根離子結合,產生劇烈的分解,危險性增加。
過氧化甲乙酮的酸分解機理:

4.遇水分解性
有機過氧化物在遇到水時,也會加劇其催化分解的能力。
有研究表明,少量的水可加速有機過氧化物的分解速率。但隨著水量的增加,達到一定程度時,可對反應系統中的熱量進行吸收,這樣就起到一定的冷卻及抑制作用。
5.久置風險
從近年來化工生產中發生有機過氧化物熱爆炸事故的原因來看,其中有一個重要因素便是有機過氧化物長期存放在空氣中。大多數有機過氧化物制品為混合物,且分解溫度較低,若長期在空氣中置放,或者長時間的暴曬,就很容易受熱分解,這樣就很容易發生爆炸等危險事故。
另外有一些有機物本身不是過氧化物,但是在環境中放置久了可能生成過氧化物。例如在空氣中長期存放乙醚時,醚中的碳氫鍵由于生成過氧鍵而形成有機過氧化聚合物,聚合物不穩定,受熱易分解,會引起爆炸等危險事故。
來源:京檢危化品安全培訓






